Cisco 200-301 Question Answer
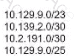
Refer to the exhibit.
All routers in the network are configured correctly, and the expected routes are being exchanged among the routeis. Which set or routes are learned from neighbors and Installed on router 2?
A)
B)
C)
D)

