Pre-Summer Sale Special Limited Time 65% Discount Offer - Ends in 0d 00h 00m 00s - Coupon code: ac4s65

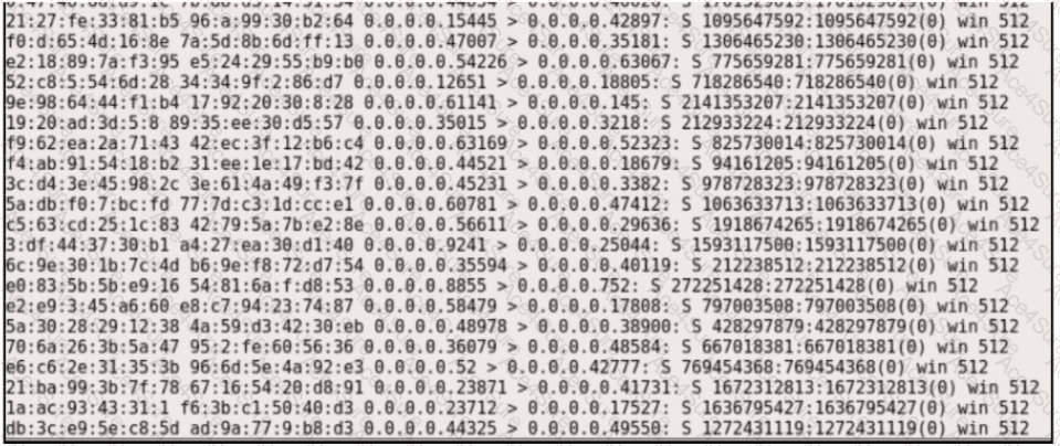
Refer to the exhibit.

Refer to the exhibit.

Which type of attack is represented?

A.

TCP/SYN flooding

B.

UDP flooding

C.

IP flooding

D.

MAC flooding

200-201 PDF/Engine
  • Printable Format
  • Value of Money
  • 100% Pass Assurance
  • Verified Answers
  • Researched by Industry Experts
  • Based on Real Exams Scenarios
  • 100% Real Questions
buy now 200-201 pdf
Get 65% Discount on All Products, Use Coupon: "ac4s65"